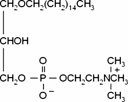
1-O-Palmityl-rac-glycero-3-phosphocholine

CAS Number17364-21-5
FormulaC24H52NO6P
Mol. Weight481.65 g/mol
1-O-Palmityl-rac-glycero-3-phosphocholine
What is 1-O-Palmityl-rac-glycero-3-phosphocholine?
1-O-Palmityl-rac-glycero-3-phosphocholine is a chemical compound with CAS number 17364-21-5 and molecular formula C24H52NO6P. It is used in various industrial and research applications.
Specifications
Molecular Weight
481.65 g/mol
Assay/Purity
~99%
