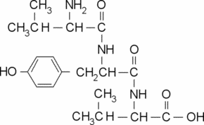
Val-Tyr-Val

CAS Number17355-22-5
FormulaC19H29N3O5
Mol. Weight379.45 g/mol
Val-Tyr-Val
What is Val-Tyr-Val?
Val-Tyr-Val is a chemical compound with CAS number 17355-22-5 and molecular formula C19H29N3O5. It is used in various industrial and research applications.
Specifications
Molecular Weight
379.45 g/mol
