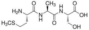
Met-Ala-Ser

CAS Number17351-33-6
FormulaC11H21N3O5S
Mol. Weight307.37 g/mol
Met-Ala-Ser
What is Met-Ala-Ser?
Met-Ala-Ser is a chemical compound with CAS number 17351-33-6 and molecular formula C11H21N3O5S. It is used in various industrial and research applications.
Specifications
Molecular Weight
307.37 g/mol
Safety Information
GHS07Signal Word
Warning
Hazard Statements
H315-H319-H335
Precautionary Statements
P261-P305 + P351 + P338
Required PPE
dust mask type N95 (US), Eyeshields, Gloves
WGK Germany
3
