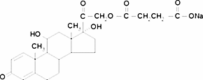
Prednisolone 21-hemisuccinate sodium salt

CAS Number1715-33-9
FormulaC25H31O8Na
Mol. Weight482.50 g/mol
Prednisolone 21-hemisuccinate sodium salt
What is Prednisolone 21-hemisuccinate sodium salt?
Prednisolone 21-hemisuccinate sodium salt is a chemical compound with CAS number 1715-33-9 and molecular formula C25H31O8Na. It is used in various industrial and research applications.
Specifications
Linear Formula
C25H31O8Na
Molecular Weight
482.50 g/mol
Assay/Purity
≥95%
Safety Information
GHS07
GHS08Signal Word
Warning
Hazard Statements
H302-H351
Precautionary Statements
P281
Required PPE
Eyeshields, full-face particle respirator type N100 (US), Gloves, respirator cartridge type N100 (US), type P1 (EN143) respirator filter, type P3 (EN 143) respirator cartridges
EC Number
216-995-1
WGK Germany
3
