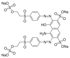
Reactive Black 5

CAS Number17095-24-8
FormulaC26H21N5Na4O19S6
Mol. Weight991.82 g/mol
Reactive Black 5
What is Reactive Black 5?
Reactive Black 5 is a chemical compound with CAS number 17095-24-8 and molecular formula C26H21N5Na4O19S6. It is used in various industrial and research applications.
Specifications
Molecular Weight
991.82 g/mol
Safety Information
GHS08Signal Word
Danger
Hazard Statements
H317-H334
Precautionary Statements
P261-P280-P342 + P311
Required PPE
dust mask type N95 (US), Eyeshields, Faceshields, Gloves
Melting Point
>300 °C(lit.)
EC Number
241-164-5
WGK Germany
3
