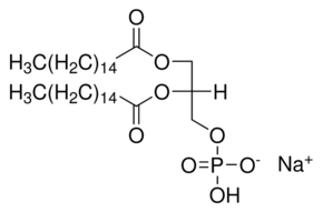
1,2-Dipalmitoyl-sn-glycero-3-phosphate monosodium salt

CAS Number169051-60-9
FormulaN/A
Mol. Weight670.87 g/mol
1,2-Dipalmitoyl-sn-glycero-3-phosphate monosodium salt
What is 1,2-Dipalmitoyl-sn-glycero-3-phosphate monosodium salt?
1,2-Dipalmitoyl-sn-glycero-3-phosphate monosodium salt is a chemical compound with CAS number 169051-60-9. It is used in various industrial and research applications.
Specifications
Molecular Weight
670.87 g/mol
Assay/Purity
≥98.0% (TLC)
Frequently Asked Questions
Alternative Names & Synonyms
C35H68NaO8P
