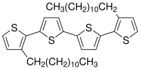
3,3′′′-Didodecyl-2,2′:5′,2′′:5′′,2′′′−quaterthiophene

CAS Number162151-09-9
Formula2′:5′
Mol. Weight667.15 g/mol
3,3′′′-Didodecyl-2,2′:5′,2′′:5′′,2′′′−quaterthiophene
What is 3,3′′′-Didodecyl-2,2′:5′,2′′:5′′,2′′′−quaterthiophene?
3,3′′′-Didodecyl-2,2′:5′,2′′:5′′,2′′′−quaterthiophene is a chemical compound with CAS number 162151-09-9 and molecular formula 2′:5′. It is used in various industrial and research applications.
Applications
Semiconducting oligomer (p-type), also used as monomer to prepare poly(3,3′′′-dialkyl-quate
Specifications
Molecular Weight
667.15 g/mol
Assay/Purity
97%
Safety Information
GHS07Signal Word
Warning
Hazard Statements
H315-H319-H335
Precautionary Statements
P261-P305 + P351 + P338
Required PPE
dust mask type N95 (US), Eyeshields, Gloves
Melting Point
55-59 °C
WGK Germany
3
Frequently Asked Questions
Alternative Names & Synonyms
2′′:5′′,2′′′−quaterthiophene,162151-09-9, C40H58S4
