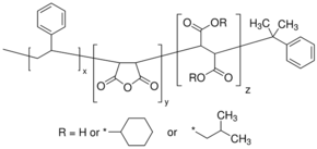
Poly(styrene-co-maleic anhydride), partial cyclohexyl/isopropyl ester, cumene terminated

CAS Number160611-51-8
FormulaN/A
Poly(styrene-co-maleic anhydride), partial cyclohexyl/isopropyl ester, cumene terminated
What is Poly(styrene-co-maleic anhydride), partial cyclohexyl/isopropyl ester, cumene terminated?
Poly(styrene-co-maleic anhydride), partial cyclohexyl/isopropyl ester, cumene terminated is a chemical compound with CAS number 160611-51-8. It is used in various industrial and research applications.
Applications
Leveling aids in films, embrittling/anti-resoil agents in shampoos, pigment dispersants, paper sizing and aqueous grinding fluids.
Specifications
Solubility
ketones, ethers and alkali: soluble
Safety Information
GHS07Signal Word
Warning
Hazard Statements
H315-H319-H335
Precautionary Statements
P261-P305 + P351 + P338
Required PPE
dust mask type N95 (US), Eyeshields, Gloves
Melting Point
160-170 °C(lit.)
WGK Germany
3
Frequently Asked Questions
Alternative Names & Synonyms
160611-51-8,
