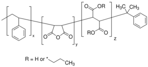
Poly(styrene-co-maleic anhydride), partial propyl ester, cumene terminated

CAS Number160611-48-3
FormulaN/A
Poly(styrene-co-maleic anhydride), partial propyl ester, cumene terminated
What is Poly(styrene-co-maleic anhydride), partial propyl ester, cumene terminated?
Poly(styrene-co-maleic anhydride), partial propyl ester, cumene terminated is a chemical compound with CAS number 160611-48-3. It is used in various industrial and research applications.
Applications
Leveling aids in films, embrittling/anti-resoil agents in shampoos, pigment dispersants, paper sizing and aqueous grinding fluids.
Specifications
Solubility
ketones, ethers and alkali: soluble
Frequently Asked Questions
Alternative Names & Synonyms
160611-48-3,
