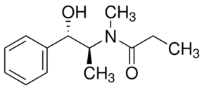
(1S,2S)-(+)-Pseudoephedrinepropionamide

CAS Number159213-03-3
FormulaN/A
Mol. Weight221.30 g/mol
(1S,2S)-(+)-Pseudoephedrinepropionamide
What is (1S,2S)-(+)-Pseudoephedrinepropionamide?
(1S,2S)-(+)-Pseudoephedrinepropionamide is a chemical compound with CAS number 159213-03-3. It is used in various industrial and research applications.
Applications
Enolates of (1R,2R)-(–)- and (1S,2S)-(+)-pseudoephedrineprop
Specifications
Molecular Weight
221.30 g/mol
Assay/Purity
98%
Frequently Asked Questions
Alternative Names & Synonyms
C13H19NO2
