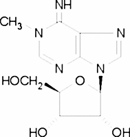
1-Methyladenosine

CAS Number15763-06-1
FormulaC11H15N5O4
Mol. Weight281.27 g/mol
1-Methyladenosine
What is 1-Methyladenosine?
1-Methyladenosine is a chemical compound with CAS number 15763-06-1 and molecular formula C11H15N5O4. It is used in various industrial and research applications.
Specifications
Molecular Weight
281.27 g/mol
