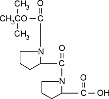
Boc-Pro-Pro

CAS Number15401-08-8
FormulaC15H24N2O5
Mol. Weight312.36 g/mol
Boc-Pro-Pro
What is Boc-Pro-Pro?
Boc-Pro-Pro is a chemical compound with CAS number 15401-08-8 and molecular formula C15H24N2O5. It is used in various industrial and research applications.
Specifications
Molecular Weight
312.36 g/mol
