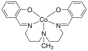
Bis(salicylideniminato-3-propyl)methylaminocobalt(II)

CAS Number15391-24-9
FormulaCH3N[(CH2)3N=CHC6H4-2-(O)]2Co
Mol. Weight410.38 g/mol
Bis(salicylideniminato-3-propyl)methylaminocobalt(II)
What is Bis(salicylideniminato-3-propyl)methylaminocobalt(II)?
Bis(salicylideniminato-3-propyl)methylaminocobalt(II) is a chemical compound with CAS number 15391-24-9 and molecular formula CH3N[(CH2)3N=CHC6H4-2-(O)]2Co. It is used in various industrial and research applications.
Applications
Catalyst for:
• Biomimetic coupled catalytic system1
• Cobalt-Schiff base complex catalyzed oxidation of para-substituted phenolics2
• Allylation, oxidation3,4, and oxidative cleavages5
• Oxidative carbonylation of phenol6
Specifications
Linear Formula
CH3N[(CH2)3N=CHC6H4-2-(O)]2Co
Molecular Weight
410.38 g/mol
Assay/Purity
97%
Safety Information
GHS07Signal Word
Warning
Hazard Statements
H302-H312-H315-H319-H332-H335
Precautionary Statements
P261-P280-P305 + P351 + P338
Required PPE
dust mask type N95 (US), Eyeshields, Gloves
Melting Point
290-292 °C(lit.)
WGK Germany
3
