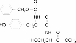
Z-Tyr-Ser methyl ester

CAS Number15364-45-1
FormulaC21H24N2O7
Mol. Weight416.42 g/mol
Z-Tyr-Ser methyl ester
What is Z-Tyr-Ser methyl ester?
Z-Tyr-Ser methyl ester is a chemical compound with CAS number 15364-45-1 and molecular formula C21H24N2O7. It is used in various industrial and research applications.
Specifications
Molecular Weight
416.42 g/mol
