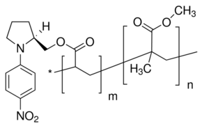
Poly[((S)-(−)-1-(4-nitrophenyl)-2-pyrrolidinemethyl)acrylate-co-methyl methacrylate]
![Poly[((S)-(−)-1-(4-nitrophenyl)-2-pyrrolidinemethyl)acrylate-co-methyl methacrylate] chemical structure](https://pub-f4d920c906024441a773a96f7098e551.r2.dev/images/products/152100-50-0.png)
CAS Number152100-50-0
FormulaN/A
Poly[((S)-(−)-1-(4-nitrophenyl)-2-pyrrolidinemethyl)acrylate-co-methyl methacrylate]
What is Poly[((S)-(−)-1-(4-nitrophenyl)-2-pyrrolidinemethyl)acrylate-co-methyl methacrylate]?
Poly[((S)-(−)-1-(4-nitrophenyl)-2-pyrrolidinemethyl)acrylate-co-methyl methacrylate] is a chemical compound with CAS number 152100-50-0. It is used in various industrial and research applications.
Applications
NLO polymer
Specifications
Linear Formula
(C14H16N2O4 · C5H8O2)x
Solubility
chloroform: soluble
toluene: soluble
