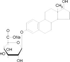
β-Estradiol 3-(β-D-glucuronide) sodium salt

CAS Number14982-12-8
FormulaC24H31O8Na
Mol. Weight470.49 g/mol
β-Estradiol 3-(β-D-glucuronide) sodium salt
What is β-Estradiol 3-(β-D-glucuronide) sodium salt?
β-Estradiol 3-(β-D-glucuronide) sodium salt is a chemical compound with CAS number 14982-12-8 and molecular formula C24H31O8Na. It is used in various industrial and research applications.
Specifications
Linear Formula
C24H31O8Na
Molecular Weight
470.49 g/mol
Safety Information
GHS07Signal Word
Warning
Hazard Statements
H302-H312-H332
Precautionary Statements
P280
Required PPE
dust mask type N95 (US), Eyeshields, Gloves
WGK Germany
3
