Quin 2 potassium salt hydrate

CAS Number149022-19-5
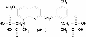
FormulaC26H27N3O10 · H2O
Mol. Weight559.52 g/mol
Quin 2 potassium salt hydrate
What is Quin 2 potassium salt hydrate?
Quin 2 potassium salt hydrate is a chemical compound with CAS number 149022-19-5 and molecular formula C26H27N3O10 · H2O. It is used in various industrial and research applications.
Applications
Calcium-specific chelator and indicator. Upon binding calcium there is a shift in the UV spectrum and an enhancement of fluorescence.
Specifications
Molecular Weight
559.52 g/mol
Assay/Purity
≥95%
