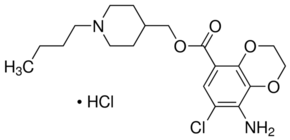
SB-204070 hydrochloride

CAS Number148702-58-3
FormulaC19H27ClN2O4 · HCl
Mol. Weight419.34 g/mol
SB-204070 hydrochloride
What is SB-204070 hydrochloride?
SB-204070 hydrochloride is a chemical compound with CAS number 148702-58-3 and molecular formula C19H27ClN2O4 · HCl. It is used in various industrial and research applications.
Applications
SB-204070 hydrochloride was used to study the role of 5-HT metabolites in trypsin-induced anion secretion in mouse cecum.1
Specifications
Molecular Weight
419.34 g/mol
Assay/Purity
≥97% (HPLC)
Solubility
H2O: soluble20 mg/mL (with heating)
