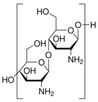
Chitosan oligosaccharide lactate

CAS Number148411-57-8
FormulaN/A
Chitosan oligosaccharide lactate
What is Chitosan oligosaccharide lactate?
Chitosan oligosaccharide lactate is a chemical compound with CAS number 148411-57-8. It is used in various industrial and research applications.
Applications
Water treatment for organic and heavy metal pollutants, biomedical devices, biodegradable packaging, textile finishing for water permeable fabrics, cosmetics.
Specifications
Linear Formula
(C12H24N2O9)n
