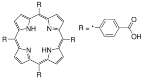
4,4′,4′′,4′′′-(Porphine-5,10,15,20-tetrayl)tetrakis(benzoic acid)

CAS Number14609-54-2
Formula4′′
Mol. Weight790.77 g/mol
4,4′,4′′,4′′′-(Porphine-5,10,15,20-tetrayl)tetrakis(benzoic acid)
What is 4,4′,4′′,4′′′-(Porphine-5,10,15,20-tetrayl)tetrakis(benzoic acid)?
4,4′,4′′,4′′′-(Porphine-5,10,15,20-tetrayl)tetrakis(benzoic acid) is a chemical compound with CAS number 14609-54-2 and molecular formula 4′′. It is used in various industrial and research applications.
Specifications
Molecular Weight
790.77 g/mol
Frequently Asked Questions
Alternative Names & Synonyms
4′′′-(Porphine-5,10,15,20-tetrayl)tetrakis(benzoic acid),14609-54-2, C48H30N4O8
