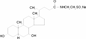
Sodium tauroursodeoxycholate

CAS Number14605-22-2
FormulaC26H44NO6SNa
Mol. Weight521.69 g/mol
Sodium tauroursodeoxycholate
What is Sodium tauroursodeoxycholate?
Sodium tauroursodeoxycholate is a chemical compound with CAS number 14605-22-2 and molecular formula C26H44NO6SNa. It is used in various industrial and research applications.
Specifications
Linear Formula
C26H44NO6SNa
Molecular Weight
521.69 g/mol
Assay/Purity
≥95%
Appearance
anionic
