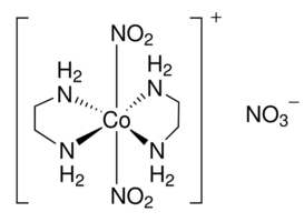
trans-Dinitrobis(ethylenediamine)cobalt(III) nitrate

CAS Number14240-12-1
FormulaC4H16CoN7O7
Mol. Weight333.15 g/mol
trans-Dinitrobis(ethylenediamine)cobalt(III) nitrate
What is trans-Dinitrobis(ethylenediamine)cobalt(III) nitrate?
trans-Dinitrobis(ethylenediamine)cobalt(III) nitrate is a chemical compound with CAS number 14240-12-1 and molecular formula C4H16CoN7O7. It is used in various industrial and research applications.
Specifications
Molecular Weight
333.15 g/mol
Safety Information
GHS07Signal Word
Warning
Hazard Statements
H315-H319-H335
Precautionary Statements
P261-P305 + P351 + P338
Required PPE
dust mask type N95 (US), Eyeshields, Gloves
Melting Point
253 °C (dec.)(lit.)
WGK Germany
3
