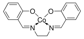
N,N′-Bis(salicylidene)ethylenediaminocobalt(II)

CAS Number14167-18-1
FormulaN/A
Mol. Weight325.23 g/mol
N,N′-Bis(salicylidene)ethylenediaminocobalt(II)
What is N,N′-Bis(salicylidene)ethylenediaminocobalt(II)?
N,N′-Bis(salicylidene)ethylenediaminocobalt(II) is a chemical compound with CAS number 14167-18-1. It is used in various industrial and research applications.
Specifications
Linear Formula
[-CH2N=CHC6H4-2-(O-)]2Co
Molecular Weight
325.23 g/mol
Assay/Purity
99%
Safety Information
GHS07Signal Word
Warning
Hazard Statements
H315-H319-H335
Precautionary Statements
P261-P305 + P351 + P338
Required PPE
dust mask type N95 (US), Eyeshields, Gloves
EC Number
238-012-5
WGK Germany
3
Frequently Asked Questions
Alternative Names & Synonyms
[-CH2N=CHC6H4-2-(O-)]2Co
