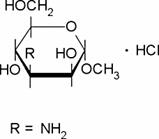
Methyl 3-amino-3-deoxy-α-D-mannopyranoside hydrochloride

CAS Number14133-35-8
FormulaC7H15NO5 · HCl
Mol. Weight229.66 g/mol
Methyl 3-amino-3-deoxy-α-D-mannopyranoside hydrochloride
What is Methyl 3-amino-3-deoxy-α-D-mannopyranoside hydrochloride?
Methyl 3-amino-3-deoxy-α-D-mannopyranoside hydrochloride is a chemical compound with CAS number 14133-35-8 and molecular formula C7H15NO5 · HCl. It is used in various industrial and research applications.
Applications
Methyl 3-amino-3-deoxy-α-D-manno
Specifications
Molecular Weight
229.66 g/mol
