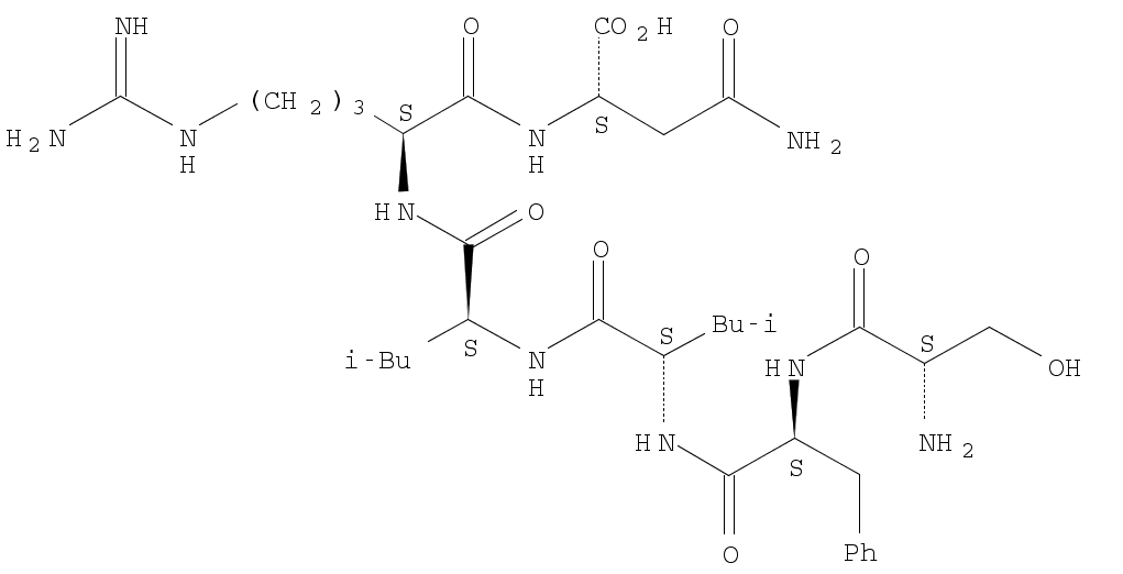
Thrombin Receptor Activator Peptide 6

CAS Number141136-83-6
FormulaC34H56N10O9
Mol. Weight748.87 g/mol
Thrombin Receptor Activator Peptide 6
What is Thrombin Receptor Activator Peptide 6?
Thrombin Receptor Activator Peptide 6 is a chemical compound with CAS number 141136-83-6 and molecular formula C34H56N10O9. It is used in various industrial and research applications.
Specifications
Molecular Weight
748.87 g/mol
Assay/Purity
>95% (HPLC)
Solubility
0.1% TFA: soluble
