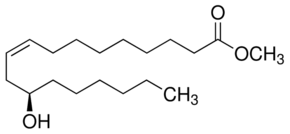
Methyl ricinoleate

CAS Number141-24-2
FormulaC19H36O3
Mol. Weight312.49 g/mol
Methyl ricinoleate
What is Methyl ricinoleate?
Methyl ricinoleate is a chemical compound with CAS number 141-24-2 and molecular formula C19H36O3. It is used in various industrial and research applications.
Specifications
Molecular Weight
312.49 g/mol
Assay/Purity
≥99% (GC)
