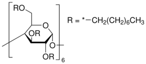
Hexakis(2,3,6-tri-O-octyl)-α-cyclodextrin

CAS Number140395-31-9
FormulaN/A
Mol. Weight2992.67 g/mol
Hexakis(2,3,6-tri-O-octyl)-α-cyclodextrin
What is Hexakis(2,3,6-tri-O-octyl)-α-cyclodextrin?
Hexakis(2,3,6-tri-O-octyl)-α-cyclodextrin is a chemical compound with CAS number 140395-31-9. It is used in various industrial and research applications.
Specifications
Molecular Weight
2992.67 g/mol
Grade
purum
Assay/Purity
≥97.0% (TLC)
Density
1.14 g/mL at 20 °C(lit.)
Frequently Asked Questions
Alternative Names & Synonyms
140395-31-9, C180H348O30
