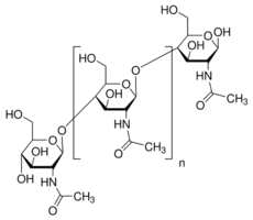
Chitin from shrimp shells

CAS Number1398-61-4
FormulaN/A
Chitin from shrimp shells
What is Chitin from shrimp shells?
Chitin from shrimp shells is a chemical compound with CAS number 1398-61-4. It is used in various industrial and research applications.
Applications
suitable as substrate for chitinase
