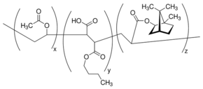
Poly(vinyl acetate-co-butyl maleate-co-isobornyl acrylate) solution

CAS Number136392-68-2
FormulaN/A
Poly(vinyl acetate-co-butyl maleate-co-isobornyl acrylate) solution
What is Poly(vinyl acetate-co-butyl maleate-co-isobornyl acrylate) solution?
Poly(vinyl acetate-co-butyl maleate-co-isobornyl acrylate) solution is a chemical compound with CAS number 136392-68-2. It is used in various industrial and research applications.
Applications
Additive to hair and skin care products.
Specifications
Boiling Point
78 °C
Density
0.957 g/mL at 25 °C
Solubility
: soluble (Water solubility is controlled by the degree of polymerization.)
Safety Information
GHS02Signal Word
Danger
Hazard Statements
H225
Precautionary Statements
P210
WGK Germany
3
