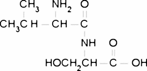
Val-Ser

CAS Number13588-94-8
FormulaC8H16N2O4
Mol. Weight204.22 g/mol
Val-Ser
What is Val-Ser?
Val-Ser is a chemical compound with CAS number 13588-94-8 and molecular formula C8H16N2O4. It is used in various industrial and research applications.
Specifications
Molecular Weight
204.22 g/mol
Safety Information
GHS07Signal Word
Warning
Hazard Statements
H315-H319-H335
Precautionary Statements
P261-P305 + P351 + P338
WGK Germany
3
