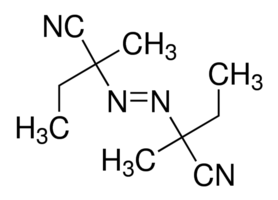
2,2′-Azobis(2-methylbutyronitrile)

CAS Number13472-08-7
FormulaN/A
Mol. Weight192.26 g/mol
2,2′-Azobis(2-methylbutyronitrile)
What is 2,2′-Azobis(2-methylbutyronitrile)?
2,2′-Azobis(2-methylbutyronitrile) is a chemical compound with CAS number 13472-08-7. It is used in various industrial and research applications.
Specifications
Molecular Weight
192.26 g/mol
Assay/Purity
≥98.0% (T)
Safety Information
GHS02
GHS07Signal Word
Danger
Hazard Statements
H242-H302
Required PPE
Eyeshields, full-face particle respirator type N100 (US), Gloves, respirator cartridge type N100 (US), type P1 (EN143) respirator filter, type P3 (EN 143) respirator cartridges
Melting Point
49-52 °C
EC Number
236-740-8
WGK Germany
1
Frequently Asked Questions
Alternative Names & Synonyms
C10H16N4
