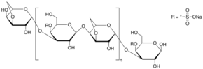
Neocarradodecaose 41,43,45,47,49,411-hexasulfate hexasodium salt

CAS Number133628-77-0
Formula45
Mol. Weight2467.88 g/mol
Neocarradodecaose 41,43,45,47,49,411-hexasulfate hexasodium salt
What is Neocarradodecaose 41,43,45,47,49,411-hexasulfate hexasodium salt?
Neocarradodecaose 41,43,45,47,49,411-hexasulfate hexasodium salt is a chemical compound with CAS number 133628-77-0 and molecular formula 45. It is used in various industrial and research applications.
Applications
Neocarradodecaose has been used in a study to assess ionization and mass spectrometry of sulfated neocarrabiose oligosaccharides. 1 It has also been used in a study to investigate ionic liquid matrixes optimized for MALDI-MS. 2
Specifications
Linear Formula
C72H104O73S6Na6
Molecular Weight
2467.88 g/mol
Assay/Purity
≥95%
Frequently Asked Questions
Alternative Names & Synonyms
47,49,411-hexasulfate hexasodium salt,133628-77-0, C72H104O73S6Na6
