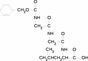
Z-Gly-Gly-Leu

CAS Number13347-77-8
FormulaC18H25N3O6
Mol. Weight379.41 g/mol
Z-Gly-Gly-Leu
What is Z-Gly-Gly-Leu?
Z-Gly-Gly-Leu is a chemical compound with CAS number 13347-77-8 and molecular formula C18H25N3O6. It is used in various industrial and research applications.
Specifications
Molecular Weight
379.41 g/mol
