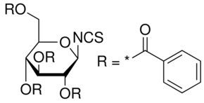
2,3,4,6-Tetra-O-benzoyl-β-D-glucopyranosyl isothiocyanate

CAS Number132413-50-4
Formula4
Mol. Weight637.66 g/mol
2,3,4,6-Tetra-O-benzoyl-β-D-glucopyranosyl isothiocyanate
What is 2,3,4,6-Tetra-O-benzoyl-β-D-glucopyranosyl isothiocyanate?
2,3,4,6-Tetra-O-benzoyl-β-D-glucopyranosyl isothiocyanate is a chemical compound with CAS number 132413-50-4 and molecular formula 4. It is used in various industrial and research applications.
Specifications
Molecular Weight
637.66 g/mol
Assay/Purity
99%
Safety Information
GHS07Signal Word
Warning
Hazard Statements
H315-H319-H335
Precautionary Statements
P261-P305 + P351 + P338
Required PPE
dust mask type N95 (US), Eyeshields, Gloves
Melting Point
150-152 °C(lit.)
WGK Germany
3
Frequently Asked Questions
Alternative Names & Synonyms
6-Tetra-O-benzoyl-β-D-glucopyranosyl isothiocyanate,132413-50-4, C35H27NO9S
