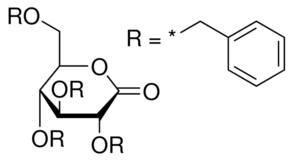
2,3,4,6-Tetra-O-benzyl-D-gluconic acid-δ-lactone

CAS Number13096-62-3
Formula4
Mol. Weight538.63 g/mol
2,3,4,6-Tetra-O-benzyl-D-gluconic acid-δ-lactone
What is 2,3,4,6-Tetra-O-benzyl-D-gluconic acid-δ-lactone?
2,3,4,6-Tetra-O-benzyl-D-gluconic acid-δ-lactone is a chemical compound with CAS number 13096-62-3 and molecular formula 4. It is used in various industrial and research applications.
Specifications
Molecular Weight
538.63 g/mol
Safety Information
GHS07Signal Word
Warning
Hazard Statements
H302-H413
Required PPE
dust mask type N95 (US), Eyeshields, Gloves
WGK Germany
3
Frequently Asked Questions
Alternative Names & Synonyms
6-Tetra-O-benzyl-D-gluconic acid-δ-lactone,13096-62-3, C34H34O6
