Adenosine 2′(3′)-monophosphate mixed isomers

CAS Number130-49-4
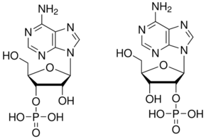
FormulaC10H14N5O7P
Mol. Weight347.22 g/mol
Adenosine 2′(3′)-monophosphate mixed isomers
What is Adenosine 2′(3′)-monophosphate mixed isomers?
Adenosine 2′(3′)-monophosphate mixed isomers is a chemical compound with CAS number 130-49-4 and molecular formula C10H14N5O7P. It is used in various industrial and research applications.
Applications
Adenosine 3′-monophosphate (3′-AMP) and Adenosine 2′-monophosphate (2′-AMP) are metabolites produced from hydrolysis of 2′,3′-
Specifications
Molecular Weight
347.22 g/mol
