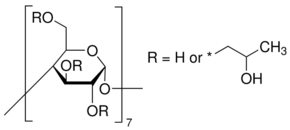
(2-Hydroxypropyl)-β-cyclodextrin

CAS Number128446-35-5
FormulaN/A
(2-Hydroxypropyl)-β-cyclodextrin
What is (2-Hydroxypropyl)-β-cyclodextrin?
(2-Hydroxypropyl)-β-cyclodextrin is a chemical compound with CAS number 128446-35-5. It is used in various industrial and research applications.
Applications
The solubility of lipophilic drugs increases linearly with the concentration of hydroxypropyl-β-cyclodext
Specifications
Solubility
H2O: soluble100 mg/mL
