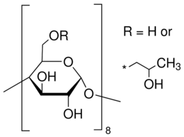
(2-Hydroxypropyl)-γ-cyclodextrin

CAS Number128446-34-4
FormulaN/A
(2-Hydroxypropyl)-γ-cyclodextrin
What is (2-Hydroxypropyl)-γ-cyclodextrin?
(2-Hydroxypropyl)-γ-cyclodextrin is a chemical compound with CAS number 128446-34-4. It is used in various industrial and research applications.
