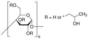
(2-Hydroxypropyl)-α-cyclodextrin

CAS Number128446-33-3
FormulaN/A
(2-Hydroxypropyl)-α-cyclodextrin
What is (2-Hydroxypropyl)-α-cyclodextrin?
(2-Hydroxypropyl)-α-cyclodextrin is a chemical compound with CAS number 128446-33-3. It is used in various industrial and research applications.
