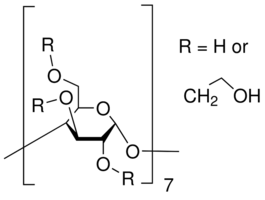
(2-Hydroxyethyl)-β-cyclodextrin

CAS Number128446-32-2
FormulaN/A
(2-Hydroxyethyl)-β-cyclodextrin
What is (2-Hydroxyethyl)-β-cyclodextrin?
(2-Hydroxyethyl)-β-cyclodextrin is a chemical compound with CAS number 128446-32-2. It is used in various industrial and research applications.
