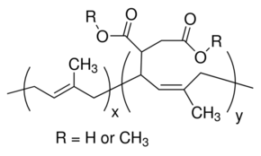
Polyisoprene-graft-maleic acid monomethyl ester

CAS Number128000-08-8
FormulaN/A
Polyisoprene-graft-maleic acid monomethyl ester
What is Polyisoprene-graft-maleic acid monomethyl ester?
Polyisoprene-graft-maleic acid monomethyl ester is a chemical compound with CAS number 128000-08-8. It is used in various industrial and research applications.
Applications
Co-curable plasticizer. Adhesive additive.
Specifications
Linear Formula
(C5H8)x(C11H16O4)y
Density
0.92 g/mL at 25 °C(lit.)
