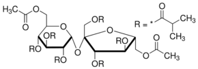
Sucrose acetate isobutyrate solution

CAS Number126-13-6
FormulaC40H62O19
Mol. Weight846.91 g/mol
Sucrose acetate isobutyrate solution
What is Sucrose acetate isobutyrate solution?
Sucrose acetate isobutyrate solution is a chemical compound with CAS number 126-13-6 and molecular formula C40H62O19. It is used in various industrial and research applications.
Specifications
Molecular Weight
846.91 g/mol
Boiling Point
78 °C
Density
1.11 g/mL at 25 °C
Safety Information
GHS02
GHS07Signal Word
Danger
Hazard Statements
H225-H319
Precautionary Statements
P210-P305 + P351 + P338
Required PPE
Eyeshields, Faceshields, full-face respirator (US), Gloves, multi-purpose combination respirator cartridge (US), type ABEK (EN14387) respirator filter
Melting Point
−83 °C
WGK Germany
1
