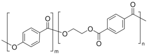
Poly(4-hydroxy benzoic acid-co-ethylene terephthalate)

CAS Number125300-07-4
FormulaN/A
Poly(4-hydroxy benzoic acid-co-ethylene terephthalate)
What is Poly(4-hydroxy benzoic acid-co-ethylene terephthalate)?
Poly(4-hydroxy benzoic acid-co-ethylene terephthalate) is a chemical compound with CAS number 125300-07-4. It is used in various industrial and research applications.
Specifications
Linear Formula
(OC6H4CO)x(OCH2CH2O2CC6H4-4-CO)y
