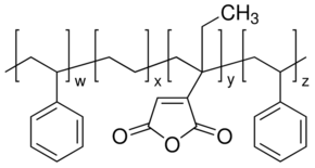
Polystyrene-block-poly(ethylene-ran-butylene)-block-polystyrene-graft-maleic anhydride

CAS Number124578-11-6
FormulaN/A
Polystyrene-block-poly(ethylene-ran-butylene)-block-polystyrene-graft-maleic anhydride
What is Polystyrene-block-poly(ethylene-ran-butylene)-block-polystyrene-graft-maleic anhydride?
Polystyrene-block-poly(ethylene-ran-butylene)-block-polystyrene-graft-maleic anhydride is a chemical compound with CAS number 124578-11-6. It is used in various industrial and research applications.
Applications
Component of hot melt adhesives, sealants, asphalt and oil gels. Modifier for polymers, thermosets and general rubber compounding. Direct molded or extruded auto parts, sporting goods, footware and film.
Specifications
Density
0.91 g/mL at 25 °C(lit.)
Solubility
solvents with solubility parameters between 7.7 and 9.4: soluble
Safety Information
GHS07Signal Word
Warning
Hazard Statements
H302 + H312 + H332-H315-H317-H319-H335
Precautionary Statements
P261-P280-P305 + P351 + P338
Required PPE
dust mask type N95 (US), Eyeshields, Faceshields, Gloves
WGK Germany
3
