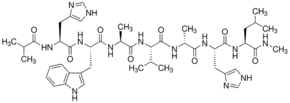
ICI 216,140

CAS Number124001-41-8
Formula140
Mol. Weight916.08 g/mol
ICI 216,140
What is ICI 216,140?
ICI 216,140 is a chemical compound with CAS number 124001-41-8 and molecular formula 140. It is used in various industrial and research applications.
Specifications
Molecular Weight
916.08 g/mol
Assay/Purity
>95%
Frequently Asked Questions
Alternative Names & Synonyms
C45H65N13O8
