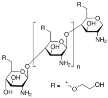
Glycol chitosan

CAS Number123938-86-3
FormulaN/A
Glycol chitosan
What is Glycol chitosan?
Glycol chitosan is a chemical compound with CAS number 123938-86-3. It is used in various industrial and research applications.
Applications
Glycol chitosan increases membrane permeability and leakage in Glycine max Harosoy 63w cells. 1
Specifications
Assay/Purity
≥60% (titration)
