Bromoacetic acid-13C2,d3

CAS Number1215692-10-6
FormulaN/A
Mol. Weight143.95 g/mol
Bromoacetic acid-13C2,d3
What is Bromoacetic acid-13C2,d3?
Bromoacetic acid-13C2,d3 is a chemical compound with CAS number 1215692-10-6. It is used in various industrial and research applications.
Specifications
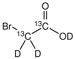
Linear Formula
Br13CD213CO2D
Molecular Weight
143.95 g/mol
Boiling Point
208 °C(lit.)
Safety Information
GHS05
GHS06
GHS09Signal Word
Danger
Hazard Statements
H301-H311-H314-H317-H331-H400
Precautionary Statements
P261-P273-P280-P301 + P310-P305 + P351 + P338-P310
Melting Point
47-49 °C(lit.)
WGK Germany
2
Frequently Asked Questions
Alternative Names & Synonyms
Br13CD213CO2D
