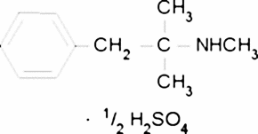
Mephentermine hemisulfate salt

CAS Number1212-72-2
FormulaC11H17N · 1/2H2SO4
Mol. Weight212.30 g/mol
Mephentermine hemisulfate salt
What is Mephentermine hemisulfate salt?
Mephentermine hemisulfate salt is a chemical compound with CAS number 1212-72-2 and molecular formula C11H17N · 1/2H2SO4. It is used in various industrial and research applications.
Specifications
Linear Formula
C11H17N · 1/2H2SO4
Molecular Weight
212.30 g/mol
Safety Information
GHS06Signal Word
Danger
Hazard Statements
H301
Precautionary Statements
P301 + P310
Required PPE
Eyeshields, Faceshields, Gloves, type P2 (EN 143) respirator cartridges
EC Number
214-923-3
WGK Germany
3
