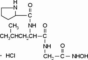
Pro-Leu-Gly hydroxamate hydrochloride

CAS Number120928-08-7
FormulaC13H24N4O4 · HCl
Mol. Weight336.82 g/mol
Pro-Leu-Gly hydroxamate hydrochloride
What is Pro-Leu-Gly hydroxamate hydrochloride?
Pro-Leu-Gly hydroxamate hydrochloride is a chemical compound with CAS number 120928-08-7 and molecular formula C13H24N4O4 · HCl. It is used in various industrial and research applications.
Applications
Affinity ligand for the purification of human collagenases.
Specifications
Molecular Weight
336.82 g/mol
