Leu-Gly-Gly

CAS Number1187-50-4
FormulaN/A
Mol. Weight245.28 g/mol
Leu-Gly-Gly
What is Leu-Gly-Gly?
Leu-Gly-Gly is a chemical compound with CAS number 1187-50-4. It is used in various industrial and research applications.
Specifications
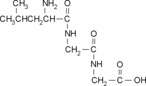
Linear Formula
(CH3)2CHCH2CH(NH2)CONHCH2CONHCH2COOH
Molecular Weight
245.28 g/mol
